 |

Home > Offers to Sell > Gifts, Crafts, Antiques & Decoration > Art > Folk Art & Primitives

| Contact: |
chinesepeptideco |
| Company: |
Chinese Peptide Company |
| |
No. 69, 12 Street, Qiantang District, Hangzhou, Zhejiang, China |
| |
Hangzhou 310018 |
| |
China |
| Phone: |
86-571-86737118 |
| Fax: |
86-571-86737013 |
| E-Mail: |
 |
|
 |
| Date/Time: |
10/24/23 3:43 GMT |
| |
|
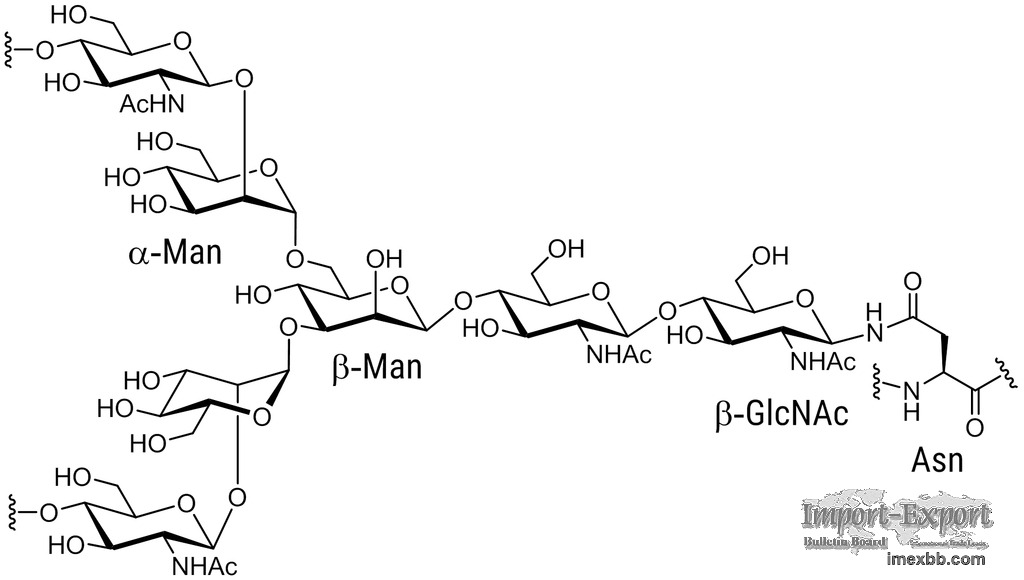
Glycosylation Peptides
A covalent alteration known as peptide glycosylation may enhance the physicochemical characteristics of peptides. Increased bioavailability, increased metabolic stability, targeting particular tissues and organs, decreased clearance rates, improved receptor binding, facilitated active transport across cell membranes (glucose transporters), and preservation of the overall physical properties of peptides (precipitation, aggregation, thermal, and kinetic denaturation) are some benefits of glycosylated peptides.
Glycan Polysaccharides Many peptides can benefit from simple glycans, which are composed of just one sugar molecule (such as D-galactose, D-glucose, or D-mannose), but in rare circumstances, more complex glycans may be necessary. Site-specific glycosylations of a variety of linear or branched glycan polysaccharides are available from our technical team.
Common Glycosylated Amino Acids Sugar Amino Acid Glycated Amino Acid Linkage α-D-Galactose Serine Ser(alpha-D-GalNAc) Tn Antigen O-linked α-D-Galactose Threonine Thr(alpha-D-GalNAc) Tn Antigen O-linked β-D-Galactose Serine Ser(beta-D-GalNAc) O-linked β-D-Galactose Threonine Thr(beta-D-GalNAc) O-linked β-D-Galactose Serine Ser(Gal-beta(1-3)GalNAc) Tf Antigen O-linked β-D-Galactose Threonine Thr (Gal-beta(1-3)GalNAc) Tf Antigen O-linked β-D-Glucose Serine Ser(beta-D-GlcNAc) O-linked β-D-Glucose Threonine Thr(beta-D-GlcNAc) O-linked β-D-Glucose Asparagine Asn(beta-D-GlcNAc) N-linked β-D-Glucose Serine Ser(beta-D-Glc) O-linked α-D-Mannose Serine Thr(alpha-D-Man) O-linked α-D-Mannose Asparagine Asn(alpha-D-Man) N-linked α-D-Mannose Serine Ser(alpha-D-Man) O-linked α-D-Mannose Threonine Thr(alpha-D-Man) O-linked
There are many peptide api manufacturers, but we are one of the best choices for you.
Click to Enlarge
SOURCE: Import-Export Bulletin Board (https://www.imexbb.com/)
Post an Offer to Sell
© 1996-2010 IMEXBB.com. All rights reserved.
|
|